
为做好云南大学2023年硕士研究生招生工作,保证招生工作的公开、公平、公正,进一步提高选拔质量,确保招生工作顺利进行,根据中华人民共和国教育部及云南省招生考试院有关文件精神,特制定本招生章程。
一、培养目标
培养热爱祖国,拥护中国共产党的领导,拥护社会主义制度,遵纪守法,品德良好,具有服务国家服务人民的社会责任感,掌握本学科坚实的基础理论和系统的专业知识,具有创新精神、创新能力和从事科学研究、教学、管理等工作能力的高层次学术型专门人才以及具有较强解决实际问题的能力、能够承担专业技术或管理工作、具有良好职业素养的高层次应用型专门人才。
二、招生专业、招生计划
(一)招生专业
2023年我校招收硕士研究生分学术型和专业学位两种类型,其中部分专业学位招收非全日制研究生。招生类别(领域)详见我校研究生院网站(//www.grs.huangbo2024.com/)公布的《云南大学2023年硕士研究生招生专业目录》(附件1)(以下简称招生专业目录)。我校除部分专业是按研究方向招生以外,其余均为按专业招生,具体以招生专业目录中各专业备注栏中的要求和说明为准。
注:全日制和非全日制研究生考试招生依据国家统一要求,执行相同的政策和标准。我校2023年非全日制专业仅招收在职定向就业人员,考生报考时的报考类别必须选择“12 定向就业”。
(二)招生计划
2023年我校预计招收硕士研究生5100余人,包含推荐免试计划、全国统一考试(含联合考试)计划、单独考试计划、少数民族高层次骨干人才计划、退役大学生士兵计划、西南联合研究生院专项计划等。
1.推荐免试计划
招生专业目录中公布的全日制学术型及全日制专业学位专业均可接收推免生,非全日制以及部分联合培养的专业(研究方向)不接收推免,具体以研招网推免服务系统中公布为准。可招收推免生的专业一般预留该专业50%的招生计划用于接收推免生(公布在研招网上的推免生数量为各专业可接收推免生的最大上限,非实际招生数)。
2.全国统一考试(含联合考试)计划
招生专业目录中公布的各专业拟招生人数包含推免计划和全国统一考试(含联合考试)计划等,各专业实际招收的推免生数以当年公布的推免生拟录取名单为准(预计将于2022年10月底完成推免生接收工作后公布)。
3.单独考试计划
单独考试是指考生符合特定报名条件,考试科目由招生单位单独命制的考试方式。2023年我校单独考试招生计划为10人,可进行单独考试招生的专业及具体要求详见《云南大学2023年为在职人员组织单独考试招收硕士研究生招生章程》。
4. 少数民族高层次骨干人才计划
我校2023年“少干计划”硕士研究生招生计划、招生专业及具体要求详见《云南大学2023年“少数民族高层次骨干人才计划”硕士研究生招生简章》。
5.“退役大学生士兵”专项计划
我校2023年“退役大学生士兵”专项硕士研究生招生计划、招生专业及具体要求详见《云南大学2023年退役大学生士兵专项硕士研究生招生计划招生章程》。
6.西南联合研究生院专项计划
2023年我校部分专业招收西南联合研究生院专项计划,该专项计划按研究方向招生,具体以招生专业目录公布为准,招考政策按照本章程执行。该专项计划具体介绍详见《西南联合研究生院2023年硕士研究生招生专项说明》(附件3)。经报考、遴选录取为我校西南联合研究生院专项计划的硕士研究生,学籍注册为云南大学,毕业证书及学位证书由云南大学颁发。
我校最终实际的招生计划将以当年教育部下达的实际招生计划为准(预计将于2023年3月份正式下达),正式计划下达后我校将视生源状况和各学科发展需要适当调整各专业招生名额。考生若有疑问,可致电我校研招办咨询。
招生专业目录加“☆”的表示该专业具有博士学位授予权;加“★”的表示该专业是我校自主增设的二级学科,毕业时学位证书上的学位(专业)名称以研究生院学位办规定和备案为准。
三、学习方式
按照学习方式区分,我校硕士研究生分为全日制研究生和非全日制。按照有关文件规定,全日制研究生(含学术型专业和专业学位)是指在基本修业年限或者学校规定年限内,全脱产在校学习的研究生;非全日制研究生是在基本修业年限或者学校规定的修业年限内,在从事其他职业或者社会实践的同时,采取多种方式和灵活时间安排进行非脱产学习的研究生。全日制和非全日制研究生考试招生依据国家统一要求,执行相同的政策和标准,同时招收全日制和非全日制的专业在复试时划定同一分数线。毕业时,学校根据其修业年限、学业成绩等,按照国家有关规定发给相应的、注明学习方式的毕业证书;其学业水平达到国家规定的学位标准,可以申请授予相应的学位证书。全日制和非全日制研究生的学历学位证书具有同等法律地位和相同效力。
我校招生专业目录中专业名称下方研究方向中带“(非全日制)”的即可招收非全日制硕士研究生,非全日制专业仅招收在职定向就业人员,考生报考时的报考类别必须选择“12 定向就业”,并如实填写定向就业单位。
四、报考条件
A. 报考我校学术型专业的考生,须符合下列条件:
1.中华人民共和国公民。
2.拥护中国共产党的领导,品德良好,遵纪守法。
3.身体健康状况符合国家和招生单位规定的体检要求。
4.考生学业水平必须符合下列条件之一:
(1)国家承认学历的应届本科毕业生(含普通高校、成人高校、普通高校举办的成人高等学历教育等应届本科毕业生)及自学考试和网络教育届时可毕业本科生。考生必须在2023年9月1日前取得国家承认的本科毕业证书或教育部留学服务中心出具的《国(境)外学历学位认证书》,否则录取资格无效。
(2)具有国家承认的大学本科毕业学历的人员。
(3)获得国家承认的高职高专学历后满2年(从毕业后到2023年9月1日,下同)或2年以上的人员,以及国家承认的本科结业生,根据我校培养目标和各学科的具体学业要求,可按本科毕业同等学力身份报考部分专业,具体请参看招生专业目录中各专业备注栏中的要求,此类考生不得报考招生专业目录中备注了“限本科毕业及以上学历”的相关专业。
(4)已获硕士、博士学位的人员。
在校、在籍研究生报考须在报名前征得所在培养单位书面同意,否则不予确认。此类研究生如后期拟录取到我校,根据学籍管理有关规定,须注销原培养单位或院校学籍,否则无法录取。
B.报考我校专业学位的考生报考条件按下列规定执行。
1.报名参加法律硕士(非法学)专业学位硕士研究生招生考试的人员,须符合下列条件:
(1)符合A中的各项要求,同时前置学历须为本科毕业及以上。
(2)报考前所学本科专业为非法学专业(普通高等学校本科专业目录法学门类中的法学类专业[代码为0301]毕业生、专科层次法学类毕业生和自学考试形式的法学类毕业生等不得报考)。
2.报名参加法律硕士(法学)专业学位硕士研究生招生考试的人员,须符合下列条件:
(1)符合A中的各项要求,同时前置学历须为本科毕业及以上。
(2)报考前所学本科专业为法学专业(仅普通高等学校本科专业目录法学门类中的法学类专业[代码为0301]毕业生、自学考试本科形式的法学类毕业生等可以报考), 获得法学第二学士学位的可报考法律(法学)专业学位。
3.报考我校工商管理、公共管理、旅游管理专业学位硕士研究生的人员,须符合下列条件:
(1)符合A中第1.2.3各项的要求。
(2)大学本科毕业后有3年以上工作经验的人员;或获得国家承认的高职高专毕业学历或大学本科结业后,符合招生单位相关学业要求,达到大学本科毕业同等学力并有5年以上工作经验的人员;或获得硕士学位或博士学位后有2年以上工作经验的人员。工商管理硕士专业学位研究生相关考试招生政策同时按照《教育部关于进一步规范工商管理硕士专业学位研究生教育的意见》(教研〔2016〕2号)有关规定执行。
4.报考我校工程管理、教育硕士中的教育管理专业学位硕士研究生的人员,须符合下列条件:
(1)符合A中的各项要求,同时前置学历须为本科毕业及以上。
(2)大学本科毕业后有3年及以上工作经验的人员;或获得硕士学位或博士学位后有2年及以上工作经验的人员。
同等学力的相关说明:
1.同等学力身份是指获得国家承认的高职高专毕业学历后,达到大学本科毕业同等学力并有2年以上工作经验的人员(截止2021年9月1日),以及国家承认学历的本科结业生。
2.报考我校工商管理硕士、公共管理硕士、旅游管理硕士专业学位的同等学力考生,其高职高专毕业证书或本科结业证书应在2018年9月1日前颁发。
3.同等学力考生若在报名时未如实填报同等学力情况,或虚假填报学历信息导致学信网校验不通过的,如进入复试我校有权取消其复试资格。
五、报名
硕士研究生报名包括网上报名和网上确认两个阶段。所有参加硕士研究生招生考试的考生均须进行网上报名,并在网上确认网报信息和采集本人图像等相关电子信息,同时按规定缴纳报考费。
(一) 网上报名
1.网上报名时间:2022年10月5日至10月25日,每天9:00—22:00。网上预报名时间为2022年9月24日至9月27日,每天9:00—22:00。
2.报名网站:中国研究生招生信息网://yz.chsi.com.cn(公网网址)或//yz.chsi.cn(教育网址)。
考生应在规定时间内登录“中国研究生招生信息网”浏览报考须知,并按教育部、省级教育招生考试机构、报考点以及报考招生单位的网上公告要求报名。报名期间,考生可自行修改网上报名信息或重新填报报名信息,但一位考生只能填报一个招生单位的一个专业(或招生方向),保留一条有效报名信息,逾期不再补报,也不得修改报名信息。
考生应按要求准确填写个人网上报名信息并提供真实材料。凡因未按要求报名,网报信息填写错误或填报虚假信息造成不能通过网上确认、考试、复试或录取的,或影响其入学后享受奖助和学校有关政策的,后果由考生本人承担。
报名点的选择:
应届本科毕业生原则上应选择就读学校所在地省级教育招生考试机构指定的报考点办理网上报名和网上确认手续;单独考试考生应选择招生单位所在地省级教育招生考试机构指定的报考点办理网上报名和网上确认手续;其他考生(含工商管理、公共管理、旅游管理、工程管理等专业学位考生)应选择工作所在地(相关具体要求由所在地省级教育招生考试机构合理确定)或户口所在地省级教育招生考试机构指定的报考点办理网上报名和网上确认手续。具体以各地省级教育考试机构的报名点公告或通知为准。
3.注意事项:
(1)2023年全国硕士研究生招生考试初试方式分为全国统一考试(含联合考试)、单独考试以及推荐免试。
(2)考生应按我校要求如实填写学习情况和提供真实材料,准确填写本人所受奖惩情况,特别是要如实填写在参加普通和成人高等学校招生考试、全国硕士研究生招生考试、高等教育自学考试等国家教育考试过程中因违纪、作弊所受处罚情况。对弄虚作假者,将按照《国家教育考试违规处理办法》《普通高等学校招生违规行为处理暂行办法》严肃处理。
(3)报名期间研招网将对考生学历(学籍)信息进行网上校验,考生可上网查看学历(学籍)校验结果。建议考生在报名前提前登录“中国高等教育学生信息网”(网址://www.chsi.com.cn)查询本人学历(学籍)信息。
未能通过学历(学籍)网上校验的考生应在我校规定时间内准备好学历证明材料并完成学历(学籍)核验。
(4)报考我校且毕业后在国务院办公厅公布的民族区域自治地方就业的少数民族普通高校应届本科毕业生;或者工作单位和户籍在国务院办公厅公布的民族区域自治地方,且定向就业单位为原单位的少数民族在职人员考生,可按《关于报考云南大学硕士研究生享受少数民族照顾政策的相关说明》(以复试前发布版本为准)申请享受少数民族照顾政策。
若符合教育部相关规定,且打算享受少数民族照顾政策的考生,应在规定的网上报名时间内(2022年10月5日至10月25日)在“研招网”报名系统如实填写少数民族身份,报考类别为“12 定向就业”,且定向就业到国务院办公厅公布的民族区域自治地方的具体单位。少数民族考生身份、报考类别(定向就业、非定向就业)等报考信息经网上确认审核和考生确认后,一律不得再做修改。报名时报考类别未选择“定向就业”或定向就业单位不在国务院办公厅公布的民族区域自治地方的考生,不能享受少数民族照顾政策。少数民族区域自治地方以《全国民族区域自治地方简表》(//yz.chsi.com.cn/kyzx/other/201009/20100914/119844898.html)公布为准。
注:申请享受少数民族照顾政策的考生,若达到国家线中“享受少数民族照顾政策的考生”的要求,可按规定享受照顾政策上线,但上线不一定能进入复试,还需根据一志愿正常上线考生情况、考生在各专业中的排名情况以及该专业招生计划等因素来确定。
(5)已被招生单位接收的推免生,不得再报名参加当年硕士研究生考试招生,否则取消其推免录取资格。
(6)报考“退役大学生士兵”专项硕士研究生招生计划的考生,应为高校学生应征入伍服现役退役,且符合硕士研究生报考条件者〔高校学生指全日制普通本专科(含高职)、研究生、第二学士学位的应(往)届毕业生、在校生和入学新生,以及成人高校招收的普通本专科(高职)应(往)届毕业生、在校生和入学新生,下同〕。考生报名时应当选择填报退役大学生士兵专项计划,并按要求填报本人入伍前的入学信息以及入伍、退役等相关信息。
(7)现役军人报考我校应当事先认真阅读了解解放军及我校有关报考要求,遵守保密规定,按照规定填报报考信息。不明之处应当事先与我校联系。
(8)考生应当认真了解并严格按照报考条件及相关政策要求选择填报志愿,并按要求准确填写个人网上报名信息并提供真实材料。因不符合报考条件及相关政策要求,或因网报信息填写错误、填报虚假信息,造成后续不能网上确认、考试、复试或录取的,后果由考生本人承担。
(二)网上确认
1. 确认时间
网上确认时间由各省级教育招生考试机构根据国家招生工作安排、本地区报考组织情况结合疫情防控形势自行确定和公布。请报考考生查询相关省级教育招生考试机构及报考点网站,按照规定时间和有关要求进行确认,逾期不再补办。
2.确认程序
(1)所有考生(不含推免生)均应当在规定时间内按照各报考点要求进行核对并确认网上报名信息,逾期不再补办。
(2)考生应当积极配合报考点工作人员,根据核验工作需要,按考点要求提交本人居民身份证、学历学位证书(应届本科毕业生持学生证)、网上报名编号等进行核对。报考“退役大学生士兵”专项硕士研究生招生计划的考生还应当提交本人《入伍批准书》和《退出现役证》的原件或复印件。报考“少数民族高层次人才骨干计划”的考生还需审查《报考少数民族高层次骨干人才计划硕士研究生考生登记表》。
(3)所有考生均应当对本人网上报名信息进行认真核对并确认。报名信息经考生确认后一律不作修改,因考生填写错误引起的一切后果由其自行承担。
(4)考生应当按报考点规定配合采集本人图像等相关电子信息。
(5)考生网上确认时需签署并上传《考生诚信考试承诺书》。
六、报考资格审查
(一)报名期间的审核
请各考生务必在报名前仔细阅读此章程以及我校各专业报考条件(包含招生专业目录中的备注信息对学历等方面的要求),确定符合各项要求后再进行报名。我校将在报名系统开放期间同步对报名数据进行审核,重点审查以下信息:
1. 报考非全日制专业是否正确选择了“12 定向就业”,并填写定向就业单位。
2.考生前置学历是否满足招生专业目录中的备注要求。
3.各专项计划填报是否超出专业限制以及是否符合专项条件。
4.研招网学籍学历校验结果。
5.部分专业对于毕业年限、专业背景的要求等。
对于报名数据审核存在问题的考生,我校将通过研招网后台发送站内信息进行提示并定期在研究生院网站公布不符合报名条件的名单,考生接到短信提示后请尽快登录研招网查看原因并根据实际情况在规定时间内重新报名或修改数据。请务必注意:报名系统关闭后不得再修改信息或补报,不符合要求的考生一律不准考。对于报名数据审核无问题的,我校不再单独发信息。
(二)网上确认结束后的审核
网上确认结束后,我校还将对全国所有报考点上报的确认信息进行全面核查,符合报考条件的考生编入准考库并编排准考证号,不符合条件的考生一律设置为不准考。
各位考生在报名前要明确自身定位和合理规划报名时间,要本着负责的态度确保填写的报名信息完整、真实、有效、齐全、正确,要避免因人为错误导致数据校验失败,要预留充足的时间修改信息或补报。报名成功后的5到7天内要及时关注手机短信、研招网站内消息、学校研究生院的网站(//www.grs.huangbo2024.com/)信息。请务必保证报名时填写的手机号码正确并能够正常接收研招网短信(建议网报期间手机不要开启短信拦截等屏蔽功能,以免耽误接收研招网发送的短信)。
七、初试
(一)2022年12月24日至12月25日期间,考生可凭网报用户名和密码登录“研招网”自行下载打印《准考证》。《准考证》使用A4幅面白纸打印,正反两面在使用期间不得涂改。
(二)考生须凭下载打印的《准考证》及第二代居民身份证参加初试和复试。考前若因疫情防控或其他特殊情况需要另行准备有关材料或凭证的,以具体通知为准,请考生密切关注我校研究生院网站。
(三)初试日期和时间
2022年12月24日至25日。
考试时间以北京时间为准,每天上午8:30-11:30,下午14:00-17:00。
(四)初试科目
每科目考试时间为3小时;初试方式均为笔试。
12月24日上午 思想政治理论、管理类综合能力
12月24日下午 外国语
12月25日上午 业务课一
12月25日下午 业务课二
12月26日 考试时间超过3小时或有使用画板等特殊要求的考试科目 。
我校学术型专业中,教育学、历史学门类以及药学一级学科下有关专业设置三个单元初试科目:思想政治理论(100分)、外国语(100分)、业务课(300分),其他各学科门类考试科目均设置四个单元:思想政治理论(100分)、外国语(100分)、业务课一(150分)、业务课二(150分)。具体以招生专业目录为准。
我校专业学位中,体育、文物与博物馆硕士设置三个单元初试科目:思想政治理论(100分)、外国语(100分)、业务课(300分);工商管理、公共管理、会计、旅游管理、图书情报、工程管理、审计等专业学位硕士初试科目设置两个单元:管理类综合能力(200分)、外国语(100分);其他各专业初试科目设置四个单元:思想政治理论(100分)、外国语(100分)、业务课一(150分)和业务课二(150分)。
各专业具体考试科目请查阅我校2023年招生专业目录。其中,国家统考科目有:101思想政治理论、199管理类综合能力、201英语(一)、204英语(二)、301数学(一)、302数学(二)、303数学(三)、311教育学专业基础、313 历史学专业基础、396经济类综合能力、397法律硕士专业基础(法学)、398法律硕士专业基础(非法学)、408 计算机学科专业基础、497法律硕士综合(法学)、498法律硕士综合(非法学),其他均为学校自命题考试科目。
(五)考生须到省级教育招生考试机构指定的考场考试。考生入场时须接受考试安全及违禁物品检查,具体要求以《准考证》上的规定为准。
(六)初试成绩公布后,考生若对成绩有异议,可以按照我校公布的成绩复查办法在规定时间内向我校提出复查申请,我校将组织专人进行复查,考生本人不得查阅试卷。
八、复试、调剂
我校硕士研究生的复试工作一般在3月中旬至4月中旬期间进行,具体安排以届时我校公布的复试实施方案和调剂有关通知为准。
(一)我校将参照教育部公布的二区分数线并结合我校生源和招生计划等情况,精准确定考生进入复试的初试成绩要求及其他学术要求。届时请考生务必关注我校研究生院网站,查询复试资格和相关要求,若错过复试,责任由考生本人承担。
(二)我校调剂信息将于教育部确定初试成绩基本要求后公布于研究生院网站或者中国研招网上,届时,考生可通过“研招网”调剂服务系统填写调剂志愿。
(三)我校将在国家确定的享受少数民族照顾政策进入复试的初试成绩基本要求基础上,结合生源、招生计划和学科建设等情况,自主确定我校少数民族照顾政策分数线及其他要求。可申请享受我校少数民族照顾政策的考生有以下2类:
1.应届少数民族考生,网上报名时民族为少数民族,报考类别为“12 定向就业”且申请定向就业到国务院办公厅公布的民族区域自治地方。
2.往届少数民族考生,网上报名时民族为少数民族,报考类别为“12 定向就业”,工作单位和户籍在国务院办公厅公布的民族区域自治地方的往届考生。
少数民族区域自治地方以《全国民族区域自治地方简表》(//yz.chsi.com.cn/kyzx/other/201009/20100914/119844898.html)公布为准。申请享受我校少数民族照顾政策的考生,少数民族考生身份、报考类别(定向就业、非定向就业)等报考信息以网上确认阶段考生确认后的报考数据为准,后期不允许修改,复试前须提交相应的少数民族定向培养合同书,且毕业后必须回定向就业单位工作。
(四)我校将根据教育部相关政策以及结合我校实际情况自主确定并公布“单独考试”“退役大学生士兵”“少数民族高层次骨干人才计划”专项计划考生进入复试的初试成绩要求。
(五)我校将在复试前对考生资格进行严格审查,对不符合教育部规定者,不予复试。
(六)我校将根据实际情况决定复试形式,综合采取笔试、面试或两者相兼的方式进行差额复试,进一步考察学生的专业基础、综合分析能力、解决实际问题的能力和动手能力等。符合有关专业报考条件,以同等学力身份进入复试的考生,须加试两门本科主干课程(以招生专业目录规定为准)。
(七)我校部分专业须在复试时加试专业课笔试。
(八)报考我校审计、会计、图书情报、工商管理、公共管理、工程管理和旅游管理专业学位硕士的思想政治理论考试在复试中进行,考核形式由各培养单位自主确定。
(九)外国语听力及口语测试在复试中进行,成绩计入复试成绩。
(十)综合成绩包括初试成绩和复试成绩(成绩均保留小数点后两位),复试成绩不合格(<60分)者不予录取。复试成绩合格者,根据各专业招生计划,考生综合成绩排名等情况择优录取。
(十一)复试中,我校将对考生进行思想政治素质和品德考核,对于思想品德考核不合格者不予录取。
(十二)报考类别为“12 定向就业”的硕士研究生需在复试时或拟录取名单公布后一周内向黄播
提交与定向单位签订的《云南大学硕士研究生定向培养合同书》(一式三份)。
九、体检
我校体检标准参照教育部、卫生部、中国残联印发的《普通高等学校招生体检工作指导意见》(教学〔2003〕3号)要求,按照《教育部办公厅 卫生部办公厅关于普通高等学校招生学生入学身体检查取消乙肝项目检测有关问题的通知》(教学厅〔2010〕2号)规定执行,未达到体检要求的,不予录取。
十、录取
(一)我校将根据教育部下达的招生计划,考生初试和复试成绩、思想政治表现、身心健康状况等择优确定录取名单。
(二)考生考试诚信状况将作为思想品德考核的重要内容和录取的重要依据,对于思想品德考核不合格者,我校不予录取。
(三)硕士生录取报考类别分为“非定向就业”和“定向就业”两种。录取类别为“非定向就业”的考生、以及“少数民族骨干专项计划”的非在职考生,必须按照《调档函》要求将档案转入云南大学。录取类别为“定向就业”的考生(“少数民族骨干专项计划”非在职考生除外)一律不调取档案。参加单独考试的考生,只能被录取为毕业后回原单位工作的定向就业硕士研究生。
考生录取类别上报教育部后将无法变更,以《录取通知书》注明的为准,在读期间一律无法变更。研究生奖助学金相关政策以云南大学党委研究生工作部相关规定为准。
(四)新生应按时报到。不能按时报到者,须有正当理由和有关证明,并向招生单位请假。无故逾期两周不报到者,取消入学资格。
(五)应届本科毕业生(含普通高校、成人高校、普通高校举办的成人高等学历教育应届本科毕业生,及自学考试和网络教育届时可毕业本科生)在2023年9月1日前未取得国家承认的本科毕业证书者,取消录取资格。
(六)新生报到后,我校将对其思想政治和品德、专业素质、身体健康等情况进行全面复查,发现有不符合标准者按照我校有关规定进行处理。
(七)拟录取考生如因特殊情况无法按时入学的,可申请保留入学资格,保留年限一般为一年。办理手续以《入学须知》相关说明为准。特别注意:考生若保留入学资格后,入学当年学费、学制以及其他录取政策等发生相应变化,保留入学资格考生一律以入学时的相关要求和规定为准。
十一、违规处理
对在全国硕士研究生招生考试中违规或作弊的考生,按照《国家教育考试违规处理办法》(教育部令第33号)严肃处理。情节特别严重的,可给予暂停参加各种国家教育考试1至3年的处理。同时,对在校生,由其所在学校按有关规定给予处分,直至开除学籍;对在职考生,有关部门将通知考生所在单位,由考生所在单位视情节给予党纪或政纪处分,构成违法的,由司法机关依法追究法律责任,其中构成犯罪的,依法追究刑事责任。
对弄虚作假者(含推免生),不论何时,一经查实,即取消报考资格、录取资格或学籍。
考生在硕士研究生招生考试中的违规或作弊事实将被记入《国家教育考试考生诚信档案》,且相关情况将被通报其所在学校或单位,记入考生人事档案,作为其今后升学和就业的重要参考依据。
十二、学费、学制及奖助学金
(一) 学费
按照《国家发展改革委 财政部 教育部关于完善研究生教育投入机制的意见》(财教〔2013〕19号)以及《国家发展改革委 财政部 教育部关于加强研究生教育学费标准管理及有关问题的通知》(发改价格〔2013〕887号)规定,从2014年秋季学期起,高等学校向所有纳入全国研究生招生计划的新入学研究生收取学费。
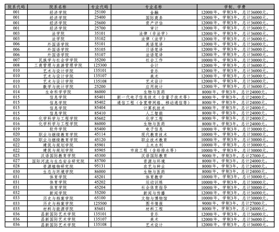
我校硕士研究生学费标准为:
1. 全日制学术型专业:8000元/年,学制3年,总计24000元。
2. 全日制专业学位学费标准见下表:

3. 非全日制硕士研究生学费见下表:

具体收费标准以省级价格主管部门核定和备案的为准。
(二) 奖助学金
1.研究生国家助学金
资助对象为云南大学基本学制年限内在读,具有中华人民共和国国籍,入学时在规定时间内将人事档案转入学校的全日制、无固定收入的研究生。硕士研究生享受6000元/年的助学金,博士研究生享受13000元/年的助学金,按10个月发放。
2.研究生学业奖学金
研究生学业奖学金用于奖励在学习、科研、社会实践等方面表现优异,德、智、体、美全面发展的优秀硕士、博士研究生。评选范围包括云南大学基本学制年限内在读,具有中华人民共和国国籍,入学时在规定时间内将人事档案转入学校的全日制、无固定收入的研究生。全日制博士研究生学业奖学金奖励金额为一等奖每生每年15000元,二等奖每生每年10000元;全日制硕士研究生学业奖学金奖励金额为一等奖每生每年8000元,二等奖每生每年5000元,三等奖每生每年3000元,优秀研究生干部奖学金每生每年500元。高校推荐免试硕士研究生入学当年直接获得一等学业奖学金。
3.研究生国家奖学金
研究生国家奖学金的评选范围包括云南大学基本学制年限内在读,具有中华人民共和国国籍的全日制(全脱产学习)研究生。博士研究生奖励金额为每生每年30000元,硕士研究生奖励金额为每生每年20000元。
4.研究生省政府奖学金
研究生省政府奖学金的评选范围包括云南大学基本学制年限内在读,具有中华人民共和国国籍的全日制(全脱产学习)研究生。博士研究生奖励金额为每生每年20000元,硕士研究生奖励金额为每生每年10000元。
5.张文勋奖学金
张文勋奖学金申报对象包括云南大学在读文科及相关专业全日制硕士、博士研究生。一等奖2名,奖金10000元/人,二等奖4名,奖金5000元/人。
6.岳虹研究生奖学金
岳虹研究生奖学金申报范围涉及物理与天文黄播
、数学与统计黄播
、生命科学黄播
、资源环境与地球科学黄播
、化学与材料工程黄播
、软件黄播
、信息黄播
的全日制研究生。一等奖10名,奖金10000元/人;二等奖20名,奖金6000元/人;三等奖20名,奖金4000元/人。(因学校机构黄播
调整,申报范围会有所改变,以具体评奖时为准。)
7.校友励志银杏奖学金
校友励志银杏奖学金的评选范围包括云南大学基本学制年限内在读、具有中华人民共和国国籍的哲学、法学、历史学、民族学类的全日制研究生(定向、在职除外),优秀贫困研究生优先考虑。校友励志银杏奖学金每年全校评选20名,每生奖金3000元。
8.其他奖学金
研究生的奖学金还包括省级三好学生、优秀学生干部、方国瑜奖学金、熊庆来奖学金、宝钢奖学金等各级各类奖学金。
以上各类奖学金的具体实施及评定办法请登录云南大学学生工作部网站(
//www.ydxsc.huangbo2024.com/)查询。
十三、授课方式
我校全日制硕士研究生(含学术型、专业学位)各专业均采取全脱产在校学习方式,非全日制硕士研究生各专业将根据考生性质安排课程,采用周末授课或每年集中时段学习等非脱产学习方式,具体安排请考生咨询相关院系,联系方式见招生专业目录。
十四、毕业生就业
我校硕士研究生分为定向就业和非定向就业两种类型。定向就业的硕士研究生须在被录取前与我校及用人单位签订定向就业合同,毕业时按定向合同就业;非定向就业的硕士研究生毕业时按本人与用人单位双向选择的办法就业。
少数民族高层次骨干人才计划以及享受少数民族照顾政策的考生毕业后必须履行协议回定向地区(单位)就业。其中少数民族高层次骨干人才计划的在职考生和享受少数民族照顾政策的考生回原单位就业;少数民族高层次骨干人才计划的非在职考生(含应届本科毕业生)回定向省(区、市)就业。
十五、其他
(一)考生因报考硕士研究生与所在单位产生的问题由考生自行处理。若因此造成考生不能复试或无法被录取,我校不承担责任。
(二)自命题科目考试大纲请查询我校研究生院网站公布的《云南大学2023年硕士研究生自命题考试科目考试大纲》(附件2)。请注意:研究生招生考试属于择优选拔性考试,考试大纲及书目仅供参考,主要考察考生分析和解决问题的能力。
(三)有关专业、研究方向具体内容等相关问题,请考生联系相关院系咨询(联系方式见招生专业目录)。
(四)我校 “单独考试”“少数民族高层次骨干人才”“退役大学生士兵”专项计划硕士研究生以及港澳台研究生招生简章另行制定并公布,请关注我校研究生院网站(//www.grs.huangbo2024.com/)。
(五)我校接收国内各高校获得推荐免试资格的应届本科毕业生,详见《云南大学2023年接收优秀应届本科毕业生免试攻读研究生(含直博生)章程》。
(六)云南大学在职职工报考研究生需填写《云南大学教职工在职学习进修审批备案表》,经我校人事处审批后,凭该表复印件报考。
(七)若教育部2023年出台新的研究生招生政策,我校将按照规定作相应调整,并及时在我校研究生院网站予以公布。
十六、联系方式
云南大学代码:10673
联系部门:云南大学研究生院招生办公室
地址:云南省昆明市云南大学呈贡校区明远楼303
邮政编码:650504
电话:0871-65033837
网址://www.grs.huangbo2024.com
微信公众号:云南大学研究生招生
欢迎报考我校并预祝各位考生取得优异成绩!
附件:
1.云南大学2023年硕士研究生招生专业目录
2.云南大学2023年硕士研究生自命题考试科目考试大纲
3.西南联合研究生院2023年硕士研究生招生专项说明
云南大学研究生院
2022年9月